2025-03-06 15:57 点击次数:86
最近啊,咱们的国产AI DeepSeek实在太火了!
火到什么程度呢?
网友们上至天文地理、玄学八卦,下至感情婚姻、买房买车都开始打起了DeepSeek的主意。
随着DeepSeek的爆红和应用场景的不断拓展,越来越多的行业纷纷宣布接入。
其中,教育领域的反应十分显著且迅速,截至2025年2月25日,已有近十家头部教育科技企业先后官宣接入DeepSeek,但是,这些厂商大多数都是以软件更新/API接入的方式对现有产品打补丁,而真正出厂搭载DeepSeek的硬件新品却迟迟没有出现。
网易有道有意改变这种局面,率先将相关技术在硬件新品上真正落地。
过去几年时间里,我们曾先后评测过多款有道词典笔,从即扫即译、跨行扫描,到后面的AI家教、口语私教等,凭借丰富多样的创新功能,有道词典笔成功地让消费者们记住了它。
而这次,他们在不错的底子上又革新了一波,推出了一款全新形态的智能硬件——有道SpaceOne,率先接入了DeepSeek-R1深度思考模型,号称是国内首款AI原生学习硬件,力求为用户带来超越真人老师的答疑辅导体验。

(图源:网易有道)
总言而之,小雷照例抢先拿到了样品,而在深度测评了一段时间之后,我总算是对这台在DeepSeek浪潮下诞生的AI原生学习硬件有了一些了解,还请各位听我娓娓道来。
AI小玩意,够漂亮
首先呢,有道SpaceOne的设计和以往的几代产品截然不同。
额哼,这个说法可能还有些不太准确,让我换个说法吧——有道SpaceOne和传统词典笔之间,几乎看不出什么关联性。
真要类比的话,不知道你有没有用过诺基亚5300XM,有道SpaceOne这种圆滑小巧的外表,黑色机身加上一点红色点缀,还有这独特的屏幕、大小和硬件形态,看起来就特别像我中学时常用的这款滑盖手机。

(图源:雷科技摄制)
当然,屏幕比例自然是完全不同的。
有道SpaceOne用上了一块4.4英寸的OLED屏幕,三面窄边,底部略宽一些,屏占比还不错;105%NTSC色域,1210x568的分辨率,实际观感清晰干净,也基本不会出现亮度不足的情况。
在大模型的重要性越来越强的当下,用户必然会和屏幕进行更多的互动,所以我还挺认可网易有道在这一块的创新来着。

(图源:雷科技摄制)
什么,你说词典笔在哪里?
将屏幕上滑,露出的并不是你想象中的键盘,而是一块拥有超大视窗的笔头,宽度达到3.6cm,比起有道X7 Pro的3.2cm还要更宽一些,这也是业内词典笔中笔头宽度最大的产品。

(图源:雷科技摄制)
除了词典笔经典的笔头扫描区,有道SpaceOne全身只有两个按钮,一个是电源键,另一个是语音唤醒按键,至于背面搭载的800万像素AI摄像头,则主要负责需要拍照识别的功能。

(图源:雷科技摄制)
从官方描述来看,这颗镜头也是为了跟DeepSeek交互时拍照输入更丝滑而设计的。
喊一嘴AI,解题如此简单
颜值这块儿,小雷就不多赘述了。
毕竟作为一款新硬件,外观顺眼固然是件好事情,实际体验的效果才是消费者最关心的。
即便在得到大模型加持后,有道SpaceOne可以做的事情依然非常简明扼要,打开设备,简单进行一些设置后,映入眼帘的就是产品的主界面,主页是以卡片形式排列组合的几项主要功能,而接入DeepSeek的AI原生应用“有道小P”俨然占据了核心位置。

(图源:雷科技摄制)
很显然,这就是我们这次主要体验的核心功能。
根据官方介绍,基于网易有道自研的“子曰”大模型和DeepSeek-R1推理模型的支持,“有道小P”可以更好地完成全学段、全科、全题型互动式答疑精讲,借助多种输入形式及多轮交互问答,循序渐进地为孩子讲解各种难题。
一不做二不休,我直接找了几道高中的主科试题,准备试试“有道小P”的成色。

谁能想到,刚一上手,我就发现了一个槽点。
在使用“有道小P”时,用户可以通过语音输入、文字输入、图片拍摄和扫描笔扫描的方式提出问题。
看着很丰富对吧,没想到吧,槽点就在这里。
目前有道SpaceOne仅支持全键盘文字输入,不大的按键挤在屏幕上,输入体验真的一言难尽,我试着输入一道简单的地理题,约莫着一百字不到的中文内容愣是给我输错了三四次。

(图源:雷科技摄制)
建议有道更新T9键盘,真的能明显改善文字输入体验。
当然,要用其他输入方式的话,语音输入和扫描笔扫描基本没啥问题;换用图片拍摄,这颗800W像素AI摄像头拍题还是挺清晰的,你甚至还能对录入的题目进行补充提问。

(图源:雷科技摄制)
好,吐槽完毕,接着就是正经测试了。
数学
正所谓“深度思考模型最适合数理题目”,所以我就先找了两种不同类型的数学题。
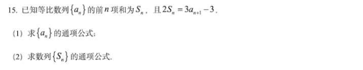
第一道题来自“2024年文科数学全国甲卷”,是一个等比数列问题。
开启“有道小P”下面的“深度思考(DeepSeek-R1)”,就可以看到大模型在试题背后的整个思考过程了,在思考了接近一分钟后,有道SpaceOne给出了深度思考的过程和对问题的解答内容。

(图源:中国教育在线)
别说,答案完全正确,给出的分步解析也可以引导学生自主思考,就是开启了“深度思考(DeepSeek-R1)”后这个思考的时间真的有够长,肯定不是每个人都能忍受这种体验的。

(图源:雷科技摄制)
当然了,像这种比较标准的考试题目,用“子曰大模型”解题的效果可能更好。
面对这样一道题目,“子曰大模型”并不会直接给出答案,而是会给出了具体拆解信息的思路和方法,并提醒学生可以沿着这个步骤计算出问题的答案,甚至还可以看讲解视频强化知识点。

(图源:雷科技摄制)
那么,如果我们打破常规思路呢?第二道题就来自于“第61届国际数学奥林匹克竞赛”。

(图源:中国教育在线)
答案完全正确,而且和那些给出标准化答案的工具不同,有道SpaceOne会积极拆解思考过程,让学生能够清晰地在屏幕上看到解题的逻辑与步骤解析,甚至还能追问采用相同解题思路的问题。

(图源:雷科技摄制)
有点牛的,这就是所谓的“循序渐进”吧。
语文
让我们再来考考语文题目,这次是一道来自“2024年高考天津语文试卷”的古诗词题。

(图源:中国教育在线)
“有道小P”首先开宗明义,确定了题目的题眼、题干和题肢,然后逐项参考题干进行对比分析,把对应诗词的赏析内容全部展现了出来,以此为依据抓住题肢中存在矛盾的内容并完成解题。

(图源:雷科技摄制)
看看这解题过程,突出的就是一个浅显易懂。
英语
至于英语的话,这次选的是一道来自“2024年高考北京卷英语试题”的完型填空题。

(图源:中国教育在线)
整个解析过程其实和前面的科目差不多,深度思考的特性,让“有道小P”会在理解整个题目内容后,根据现有的知识去做判断并完成题目,最后对每一道问题进行解读,整体解读流程还是比较详尽的。

(图源:雷科技摄制)
看到这里,有的家长可能会觉得,“每道问题都直接给出答案是不是不太好?”
额...目前体验下来还真是这样。
按理说,“有道小P”应该可以打开家长监控模式,防止用户直接查看问题的答案解析,但这个限制目前仅在“子曰”大模型模式下生效,只要开启“深度思考”就可以轻松绕过限制。

(图源:雷科技摄制)
别急,这个BUG有道后面肯定会修复的。
除了全面接入DeepSeek-R1的“有道小P”,有道SpaceOne拿来学英语真的没毛病可挑,查单词就可以直到内置的《五三》真题,都是跟中高考试题同源的精品题,还有AI口语教师“Hi Echo”,提供了自由对话、情景对话以及自定义对话三个模式,你可以使用它来辅助进行口语练习,聊任何你感兴趣的话题,并从中获得提升。
正常的屏幕比例,确实让这些习以为常的软件体验变得更加顺手了。
接下来,回到最基础的功能——扫描上。
只要把滑盖打开,有道SpaceOne就会自动进入扫描模式,可以很直观地在“一目十行”和“单行扫描”两种模式间切换。
为了试试这个“宽笔头”好不好用,我特意用各种不同的速度和角度扫描试了试,发现有道SpaceOne在扫描同时屏幕上会同步出现相应的句子,即便快速用笔划过纸面,扫描的结果也不会有很大出入。
就像这样,快速录入一整个段落,基本上也不会出现错误。

(图源:雷科技摄制)
有道SpaceOne基本可以做到录入即翻译,而且在离线的环境下,也能够完成长难句的翻译。
对新硬件来说,准确地翻译词句已经算是完成了任务,但对于英语学习者来说,知道单词的含义往往才是学习的开始:为什么要用这个词?这个词还有哪些用法?我可以在作文里使用这个词吗?

(图源:雷科技摄制)
为了进一步加深对单词、句式的了解,在每次扫描完成后,我都可以点击句子或段落中的对应单词和短语查看更为详细的翻译与用法等,甚至在句子的下面也会有大模型提供的疑难解答。
有道SpaceOne,真的可以做到有问必答。
总结:DeepSeek学习硬件,有道先人一步
以下是按照惯例,基于雷科技评测模版对有道SpaceOne的评测总结:
优点:
1、获得DeepSeek加持的“有道小P”挺好用;
2、硬件设计和规格堪称颠覆级提升。
不足:
1、部分系统问题有待改进。
如果说最初的词典笔,就是一个专注的中英文互译工具;那么伴随着大模型能力升级,在各种AI原生应用的加持下,有道SpaceOne俨然有种成为学生随身携带的全科家教的意思。

(图源:雷科技摄制)
没错,它依然有词典笔的能力,独有的隐藏式滑动笔头,搭配上有道自家的多行同步扫描技术,一次性录入大面积文字依然可以做到流畅自然,极大地提升了信息录入的效率。
内置的7800w大词库、AI大模型翻译和多语言支持,使其在翻译准确性和速度上表现出色,甚至还能针对特定词义、语义去做扩展分析,让查词结果不再是冰冷的解读。
不仅如此,结合了有道自家子曰大模型+DeepSeek-R1的“有道小P”,更是全面强化自身的推理能力、解决理科问题的能力以及逻辑类问题的能力,可以做到像私人教师那样,提供更为全面和高效的学习体验。
小雷自认为阅品无数,但长成这样的词典笔我是真的没见过。
更别说在经过这段时间的体验后,除了一些操作上别扭的地方,这款产品的实用性大大超出了我的预期,说点好话也是自然的。
首发价1699元,其实这价格也不算贵了。

(图源:京东商城)
大模型的流行,让无数原生AI硬件拔地而起。
就过去一年时间,我们已经能看到无数主打便携的AI原生硬件活跃在人们的视野中,从去年CES上走红的Ai Pin,到自认为硬件救世主的Rabbit R1,再到我们去年评测过的PLAUD NotePin,这些产品轻便、智能,但多少都有点把某项功能从手机里单独提取出来的剥离感。
于是乎,在热潮褪去后,我们目睹了无数AI原生硬件的退场。
2月19日,Ai Pin制造商Humane在2月19日被惠普以1.16亿美元的价格收购,价值不到估值巅峰期的十分之一;同日,Rabbit R1制造商公布了一则“通用Android智能体”的宣传视频,从侧面印证了对自家硬件的放弃。
这两颗初创企业如同流星一样陨落,为AI原生硬件的未来蒙上了一层阴影,也让人不禁思考,为什么这些明星产品最终都会沦落到无人问津的结局,是因为AI原生硬件的底层思路就有问题吗?
在我看来,这几款产品实际落地后的体验之糟糕,绝对是他们失败的主要原因;而诞生之初找错了目标群体,则是目前整个AI原生硬件品类都在面临的核心问题。
早期的AI原生硬件,虽然很爱打着“iPhone杀手”“取代手机”的名号,但本质上其实就是一款能够回答问题的语音助手,他们可以通过摄像头识别物体,并协助用户探索不同的知识和体验,理论上,上至当地的天气,下至有关英超联赛,这些产品都能在几秒内给出答案。
问题就在这里,成年人并没有那么多好奇心,也没有那么旺盛的求知欲,比起极具目标性的问答,一天疲惫地工作下来,大部分人或许更喜欢混迹在信息茫茫多的网络海洋里找乐子。
而学生不同,他们还有好奇心。
不管是刚刚走进校园的小学生,还是朝气蓬勃的初中生,亦或者志向高远的高中生,他们本质上都走在需要快速汲取经验的旅途中,每一天新接触到的知识,每一次全新经历的体验,都能让他们感到好奇,而好奇就会去思考,去发问,去试图了解更多此前不了解的事物。
在这种需求的带动下,主打便携场景的智能教育硬件将会变得越来越多, DeepSeek的广泛应用又会进一步抹消大家在大模型能力上的差距,届时有道应该如何去守住自己的先发地位呢?
或许,只有时间能给我们答案。

上一篇:没有了